Даю 50 баллов за подробное объяснение. Дерзайте
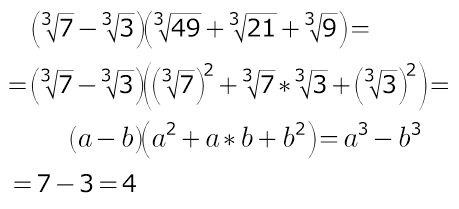
((Корень 3 степени из 7 - корень 3 степени из 3)*(корень 3 степени из 49+корень 3 степени из 21+ корень 3 степени из 9))=?
Ответы
Ответ дал:
0
не стоит пример 50 баллов))) аж жаль...
была бы возможность --прикрепила бы картинку в комментариях))
и дерзать тут нечего --- формула разность кубов)))
была бы возможность --прикрепила бы картинку в комментариях))
и дерзать тут нечего --- формула разность кубов)))
Приложения:

Вас заинтересует
2 года назад
2 года назад
7 лет назад
7 лет назад
10 лет назад
10 лет назад