Ответы
Ответ дал:
0
Решение смотри в приложении
Приложения:

Ответ дал:
0
1
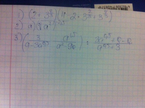
формула a³+b³=(a+b)(a²-ab+b²)

2

3
1)3/(a-3√a)-√a³/(a-3√a)(a+3√a)=(3a+9√a-a√a)/(a-3√a)(a+3√a)=
=√a(3√a+9-a)/√a(√a+3)(a-3√a)=(3√a+9-a)/(√a+3)(a-3√a)
2)(3√a+9-a)/(√a+3)(a-3√a) *(√a+3)/(3√a+9-a)=1/(a-3√a)
формула a³+b³=(a+b)(a²-ab+b²)
2
3
1)3/(a-3√a)-√a³/(a-3√a)(a+3√a)=(3a+9√a-a√a)/(a-3√a)(a+3√a)=
=√a(3√a+9-a)/√a(√a+3)(a-3√a)=(3√a+9-a)/(√a+3)(a-3√a)
2)(3√a+9-a)/(√a+3)(a-3√a) *(√a+3)/(3√a+9-a)=1/(a-3√a)
Приложения:

Вас заинтересует
2 года назад
2 года назад
10 лет назад