• Предмет: Алгебра
  • Автор: AnnaDirectioner
  • Вопрос задан 10 лет назад

РЕШИТЕ ПОЖАЛУЙСТА

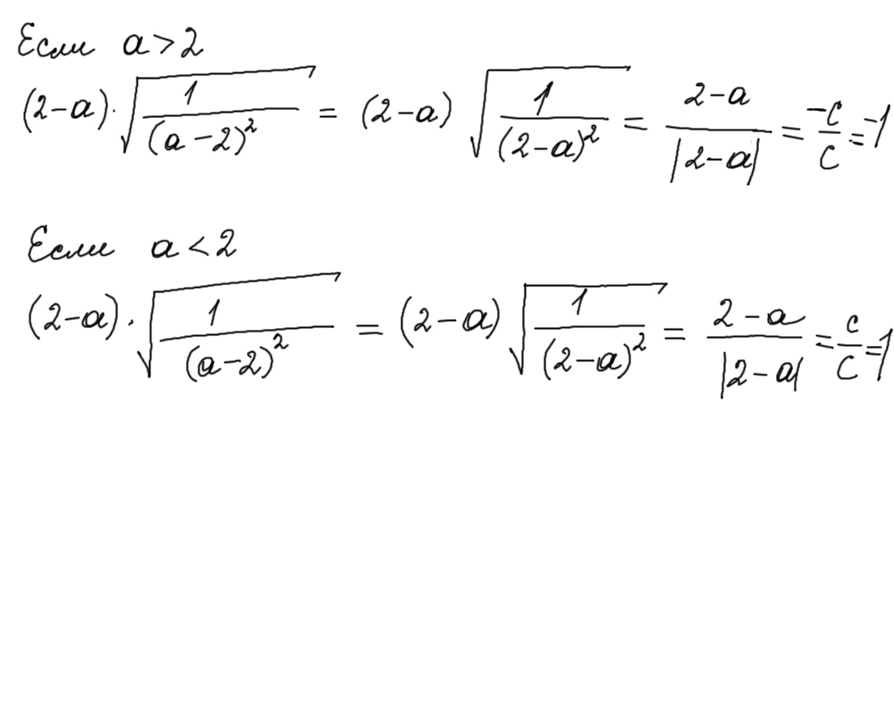
(2-а) умножить на корень из (1/(а-2)^2) при 1) a>2 и 2) а<2

Ответы

Ответ дал: UluanaV
0
Решение в прикрепленном файле.
Приложения:
Вас заинтересует