Ответы
Ответ дал:
0
!!!!!!!!!!!!!!!!!!!!!!!!!!!!!!!!!!!!!
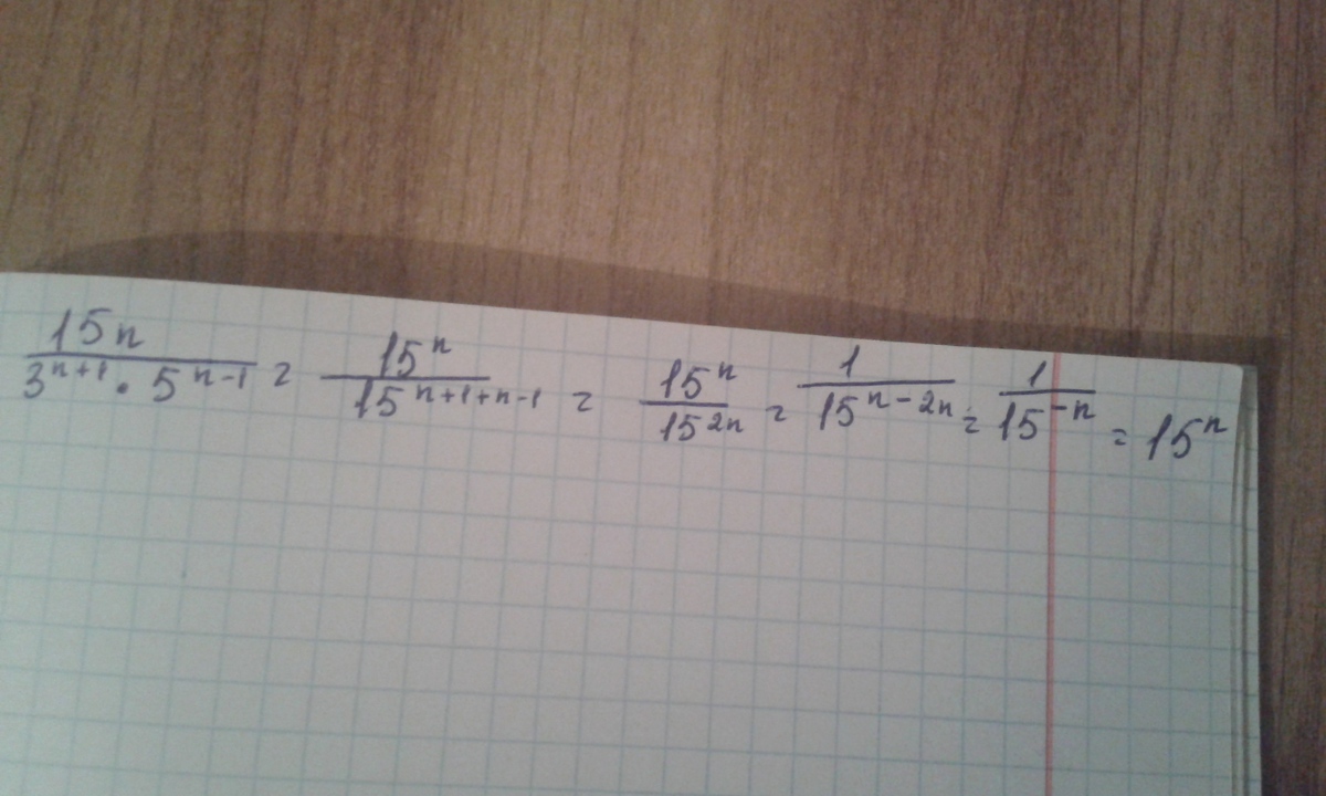
Приложения:

Ответ дал:
0
так кажется ...............
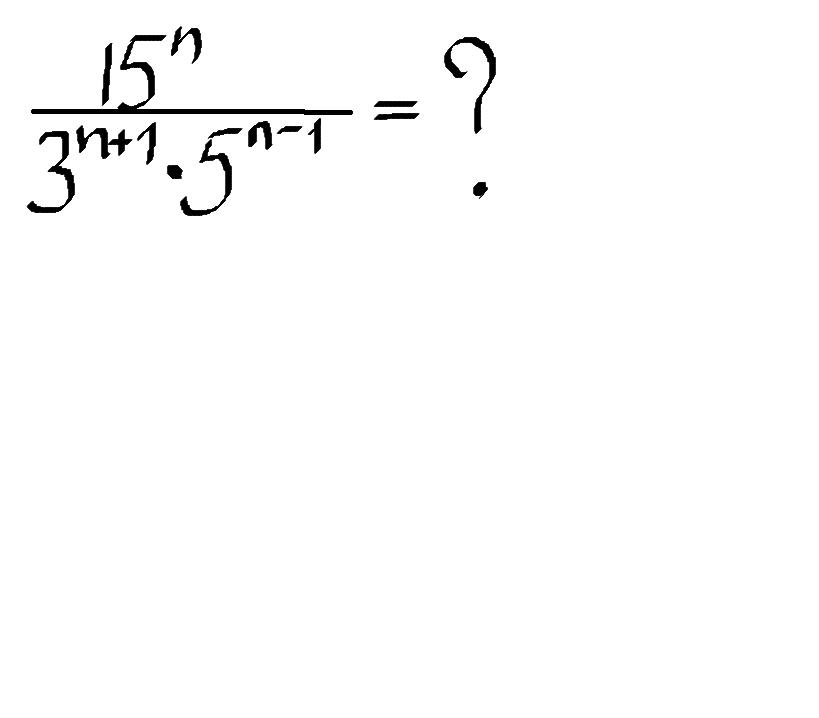
Приложения:

Ответ дал:
0
а можно ли умножать основания 3 умножить на 5 ????Е
Ответ дал:
0
Это не зависит от того, что разные степени показателей?
Вас заинтересует
2 года назад
2 года назад
10 лет назад
10 лет назад
10 лет назад
10 лет назад