• Предмет: Алгебра
  • Автор: Настасья31
  • Вопрос задан 11 лет назад

ПОЖАЛУЙСТА, ОБРАТИТЕ ВНИМАНИЕ!!!

РЕБЯТААА SOS!!!
Помогите пожалуйста!
на завтра надо три номера, а объясняют нам так, что ни черта непонятно..
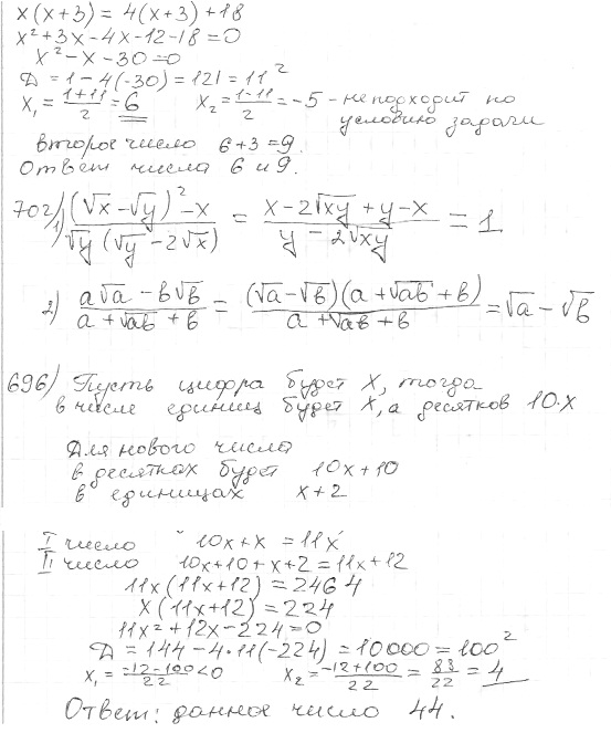
НОМЕРА 692, 696 и 702
смотрите вкладки
если можно, решите поподробнее, чтобы было понятно, что откуда берется..

Приложения:

Ответы

Ответ дал: Ellenochka
0

а в 692 - я просто последовательно выразила через Х - первое число, кратное трем,а следующее кратное 3 будет  (Х + 3) и составила уранение согласно улсовию задачи

 

Приложения:
Вас заинтересует