• Предмет: Алгебра
  • Автор: Sanya576
  • Вопрос задан 10 лет назад

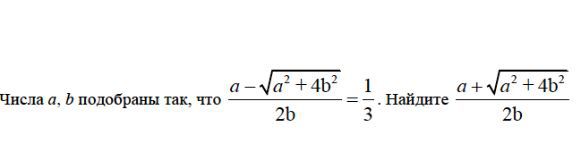
Не могу решить по алгебре =( Всё на картинке.

Приложения:

Ответа на этот вопрос пока нет. Попробуйте найти его через форму поиска.

Вас заинтересует