• Предмет: Математика
  • Автор: zimbabve2019
  • Вопрос задан 11 лет назад

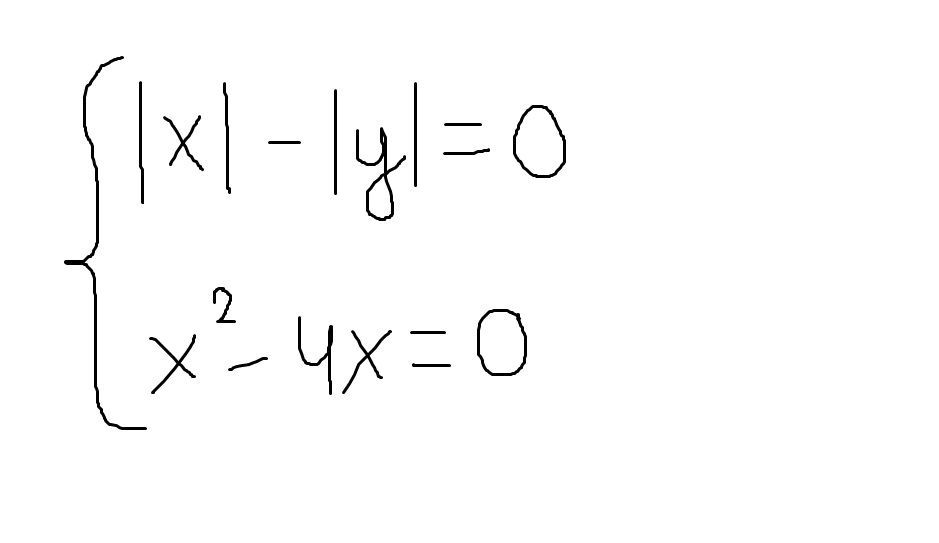
Как определить сколько решений имеет система уравнений?

Приложения:

Ответы

Ответ дал: hipster001
0
Корни подставить надо 2 решения.
Вас заинтересует