• Предмет: Математика
  • Автор: zimbabve100
  • Вопрос задан 11 лет назад

Как определить сколько решений системы уравнений содержат нулевой компонент?

Приложения:

Ответы

Ответ дал: Леонидович
0

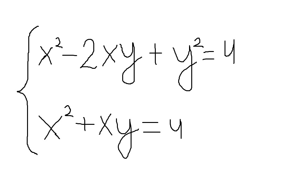
{х*х-2ху+у*у=4

{х*2+ху=4

(х-у)*(х-у)=4 => x-y=2; x-y=-2

x-y=2:

y=x-2

х*2+х(x-2)=4

x*x+x*x-2x-4=0

x*x-x-2=0

x1=2;

y1=0;

x2=-1;

y2=-3;


x-y=-2

y=x+2

х*2+х(x+2)=4

x*x+x*x+2x-4=0

x*x+x-2=0

x1=-2

y1=0

x2=1

y2=3

корни: (2;0), (-1;-3), (-2;0), (1;3) 

(2;0) и (-2;0) - содержат нулевой компонент

ответ: 2

Вас заинтересует