• Предмет: Математика
  • Автор: NeKIt777
  • Вопрос задан 11 лет назад

Решите тригонометрическое уравнение:

 

И пожалуйста, можете объяснить как решать.

Приложения:

Ответы

Ответ дал: Эль96
0

 

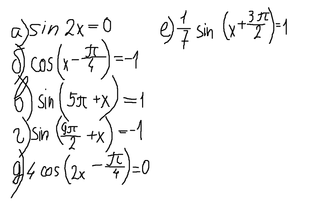
a) sin2x = 0

x = 0+πn

x = πn2

 

b) cos(x+π4) = -1

x-π4 = π+2πn

x = π+2πn+π4 

x = 5π4+2πn

 

g) sin(9π2+x) = -1
9π2+x = -π2+2πn
x = -π2+2πn-9π2 
x = -5π+2πn 

 

v) sin(5π+x) = 1

5π+x = π2+2πn
x = π2+2πn-5π  
x = -9π2+2πn   

 

d) 4cos(2x-π4) = 0

cos(2x-π4) = 0  

2x-π4 = π2+πn

2x = π2+πn+π4

2х = 3π4+πn

х = 3π8+πn2

 

e) 17sin(x+3π2) = 1

sin(x+3π2) = 7

sin≠7 так как -1<sinA<1, ⇒ нет решений

 

   

 

=)..€∫∫ 

 

 

 

 

Вас заинтересует