• Предмет: Алгебра
  • Автор: Alise666
  • Вопрос задан 10 лет назад

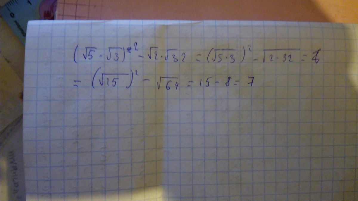
Упростите выражение (√5 √3)^2-√2*√32

Ответы

Ответ дал: koctan2013
0
Как-то так. Если что-то не понятно, то напиши в комменты
Приложения:
Ответ дал: Alise666
0
Спасибо)))
Вас заинтересует