представить произведение в виде многочлена:
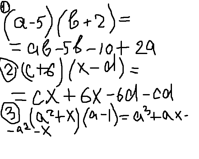
1) (a-5)*(b+2)
2) (c+6)*(x-d)
3) (a^2+x)*(a-1)
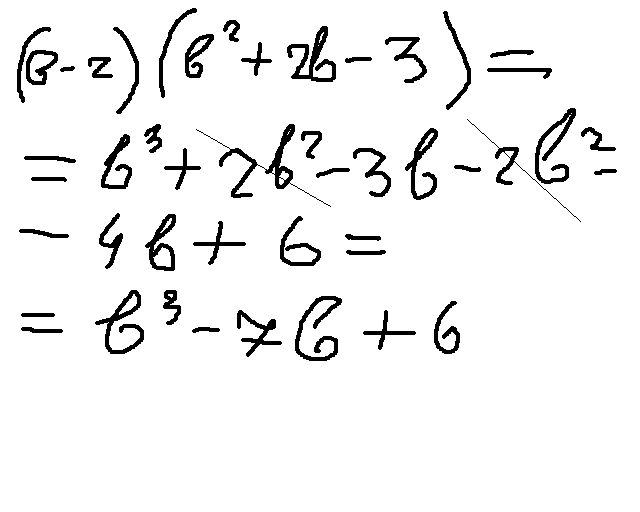
4) (b-2)*(b^2+2b-3)
Ответы
Ответ дал:
0
решение во вложении))))))))))
Приложения:


Ответ дал:
0
Приложения:


Вас заинтересует
2 года назад
2 года назад
8 лет назад
8 лет назад
10 лет назад
10 лет назад
10 лет назад