Нужно решить формулы сведения формули зведення. Задание во вложении(всего одно задание.) Помогите, пожалуйста!)
Приложения:

Ответы
Ответ дал:
0
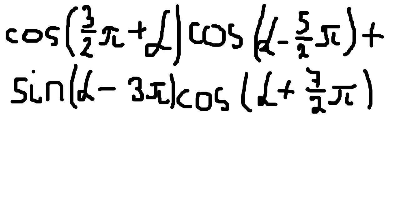
Первый косинус превращается в +синус
второй - тоже
Синус превращается в минус синус
третий косинус также в +синус
Итого имеем равенство синус квадрат минус синус квадрат = 0
Ответ дал:
0
я напишу сразу преобразованные
(-sin a)*(-sin a)+(-sin a)(sin a)=six^2 a - sin^2 a=0
Вас заинтересует
2 года назад
2 года назад
8 лет назад
8 лет назад
10 лет назад
10 лет назад