• Предмет: Алгебра
  • Автор: Хасан111
  • Вопрос задан 10 лет назад

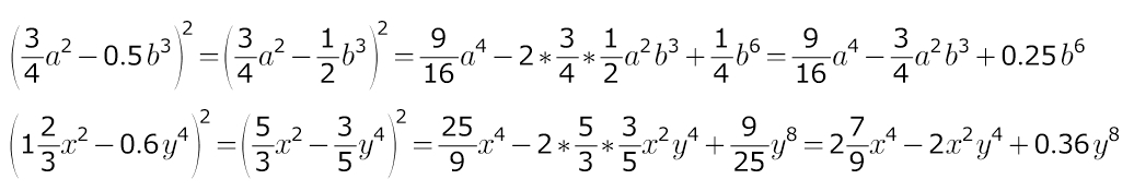
пишите эти 2 примера пожалуста

Приложения:

Ответы

Ответ дал: LFP
0
---------------------------------------
Приложения:
Вас заинтересует