• Предмет: Алгебра
  • Автор: chinokoksana
  • Вопрос задан 10 лет назад

Выполните действие
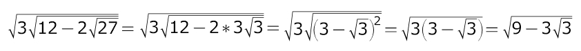
√(3∙(√(12-2√(27)))

Ответы

Ответ дал: LFP
0
под вторым корнем полный квадрат... он извлечется)))
Приложения:
Ответ дал: chinokoksana
0
все это весь ответ?
Ответ дал: LFP
0
все это это решение... ответ в конце...
Вас заинтересует