Ответы
Ответ дал:
0
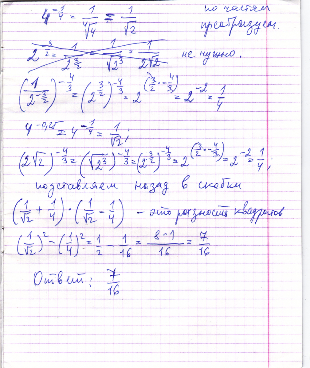
(4^(-1/4)+(1/(2^(-3/2)))^(-4/3))(4^(-0.25)-(2sqrt(2))^(-4/3))=(4^(-1/4)+(2^(3/2))^(-4/3))(4^(-1/4)-
(2^(3/2))=(4^(-1/4)+2^(-2))(4^(-1/4)-2^(-2))=4^(-1/2)-2^(-4)=1/(sgrt4)-1/(2^4)=1/2-1/16=7/16
Ответ дал:
0
Найдите значения выражения: (решайте понятно и подробно)
Приложения:

Вас заинтересует
2 года назад
2 года назад
8 лет назад
8 лет назад
10 лет назад
10 лет назад