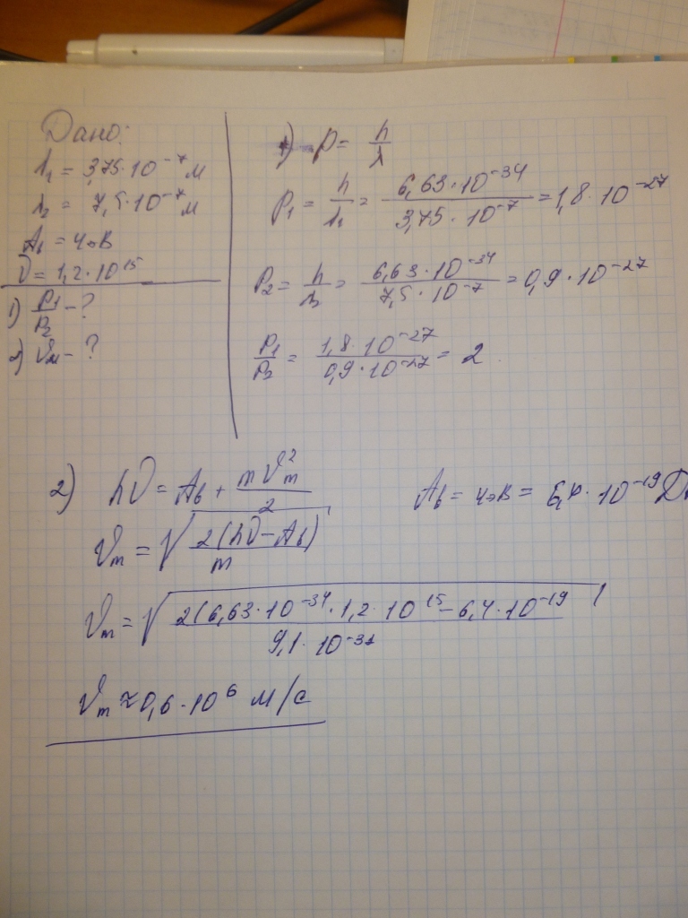
1.два источника света излучают волны,длины который ляндна один= 3,75 * 10(минус в седьмой степени) метров и лянда два 7,5*10(минус в седьмой степени) метра. Чему равно отношение импульсков р1 / р2 фотонов,излучаемых первым и вторым источниками 2. Найдите максимальную скорость фотоэлектронов при освещении металла с работой выхода 4 эВ ультрафиолетовым излучением с частотой 1,2* 15(в пятнадцатой степени)Гц. Масса электрона 9,1 * 10 (минус в тридцать первой степени) кг. Учтите : 1 эВ= 1,6 * 10(минус в девятнадцатой степени).
Ответы
Ответ дал:
0
вот, думаю так!!! надеюсь разберёшь почерк!!!
Приложения:

Вас заинтересует
2 года назад
2 года назад
10 лет назад
10 лет назад