• Предмет: Алгебра
  • Автор: Adelinka102
  • Вопрос задан 10 лет назад

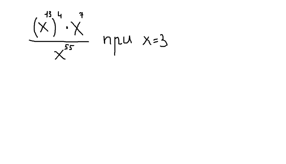
Упростите выражение и найдите его значение при х=3

Приложения:

Ответы

Ответ дал: училка00
0
(х)13*х7 /   = х20 /  = х      =3       =  1
    /х55        / х55      х25     (3)25  2824      
Ответ дал: училка00
0
это не правильно
Вас заинтересует