• Предмет: Алгебра
  • Автор: Adelinka102
  • Вопрос задан 10 лет назад

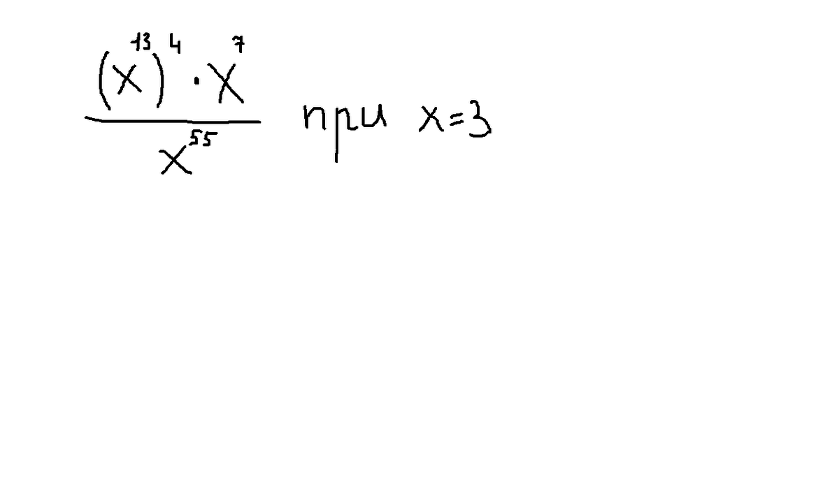
Упростите выражение и найдите его значение при х=3

Приложения:

Ответы

Ответ дал: viktoriyanoskova15
0
13*4+7=59 в числителе 
55 в знаменателе 
59-55= 4 
Х в четвёртой степени 
будет 81 
Вас заинтересует