• Предмет: Алгебра
  • Автор: orlovakarina20
  • Вопрос задан 10 лет назад

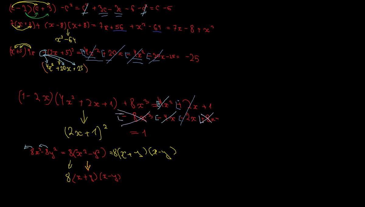
Спростити вираз.
1. (c-2)(c+3)-c(в квадрате)=
2. 7(x+8)+(x-8)(x+8)=
3. (x+5)4x-(2x+5)в квадрате=
4. (1-2x)(4x в квадрате+2x+1)=8x в кубе=
Розкласти на множники:
1. 8xв квадрате-8yв квадрате=
2. 3x-3y+x в квадрате y-xy в квадрате=
3. a в кубе -8=
4. a в 4 степени-1=
5. 36x в квадрате -x=

Ответы

Ответ дал: rebits26
0
решил только 1 задание =(((

Приложения:
Ответ дал: orlovakarina20
0
если я не ошибаюсь то последнее не правильно
Вас заинтересует