Ответы
Ответ дал:
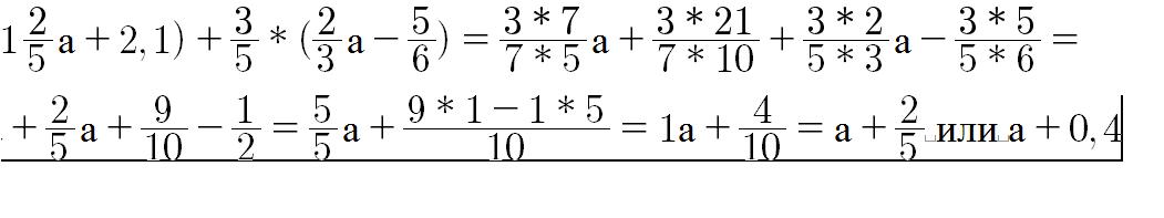
0
третье добавлю позже
================================================
Приложения:



Вас заинтересует
2 года назад
2 года назад
8 лет назад
8 лет назад
10 лет назад
10 лет назад