• Предмет: Алгебра
  • Автор: Opcklbd
  • Вопрос задан 11 лет назад

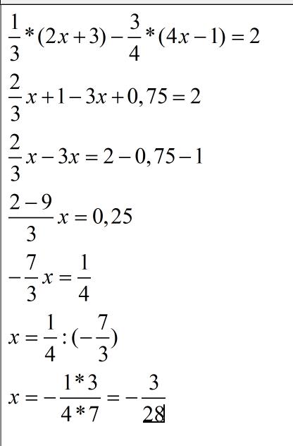
Решите уравнения; 1) 1/3*(2x+3)-3/4*(4x-1)=2

2) 2,5y-0,4*(2y+3)=3-1,5*(2/3y-1)

*-умножить

Ответы

Ответ дал: Апельсиннн
0

1)

1/3 * (2х+3)-3/4 * ( 4х-1)=2

2/3+1-3х-3/4=2

2/3-3х=2-1+3/4

-7/3=7/4

х--3/4

Ответ дал: triolana
0

====================================================

Приложения:
Вас заинтересует