• Предмет: Алгебра
  • Автор: nyatteloiv
  • Вопрос задан 11 лет назад

Во вложениях.Прошу помочь.

Приложения:

Ответы

Ответ дал: ilios
0

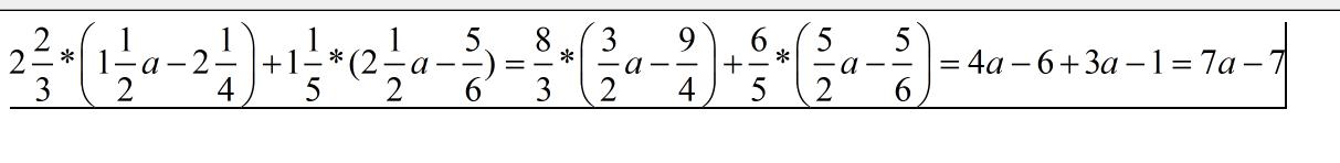
8/3(3/2a-9/4)+6/5(5/2a-5/6)=4a-6+3a-1=7a-7

Ответ дал: triolana
0

===============================================

Приложения:
Вас заинтересует