• Предмет: Алгебра
  • Автор: mirajanne
  • Вопрос задан 10 лет назад

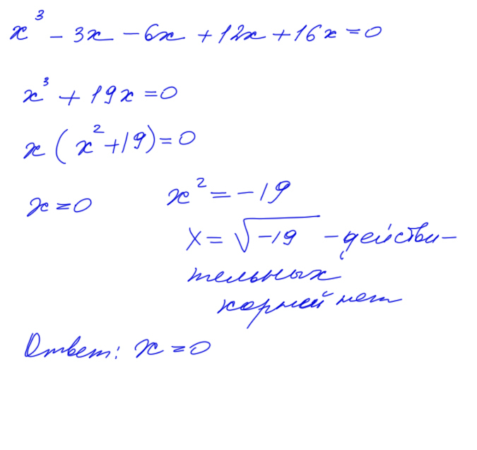
Помогите с уравнением х^3-3х-6х+12х+16х=0

Ответы

Ответ дал: UluanaV
0
Решение в прикрепленном файле.
Приложения:
Ответ дал: mapuho4ka00
0
ответ в фотографии....
Приложения:
Вас заинтересует