• Предмет: Алгебра
  • Автор: katreen2
  • Вопрос задан 10 лет назад

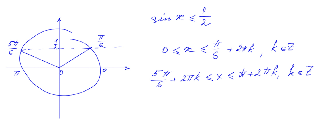
синус Икс меньше или равно 1 2

Ответы

Ответ дал: UluanaV
0
Решение в прикрепленном файле.
Приложения:
Вас заинтересует