• Предмет: Математика
  • Автор: veritac
  • Вопрос задан 11 лет назад

интеграл 

dx / (x^1/2 + x^1/3 + 2 * x^1/4)

помогите решить и разобраться а то что то не понял как делать такие примеры

Ответы

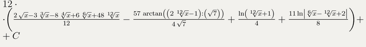
Ответ дал: ely300769
0

Точно не знаю.. 

Смотри во вложении

==============

Приложения:
Вас заинтересует