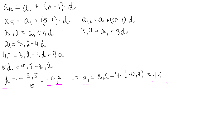
известны два члена арифметической прогрессии, а5=8,2, а10=4,7. Найдите 1 член и разность арифметической прогрессии.
Ответы
Ответ дал:
0
------------------------
Приложения:
Вас заинтересует
3 года назад
3 года назад
8 лет назад
8 лет назад
11 лет назад
11 лет назад
11 лет назад