• Предмет: Алгебра
  • Автор: yhhgchg
  • Вопрос задан 10 лет назад

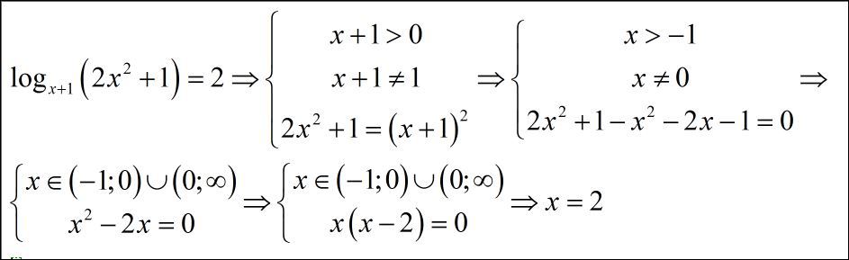
log _{x+1} (2x^{2} +1)=2

Ответы

Ответ дал: Аноним
0
решение смотри во вложении
Приложения:
Вас заинтересует