перевести в десятичную систему (напишите на листочке по возможности)
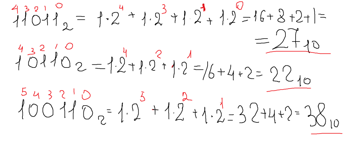
А=11011₂
Б= 10110₂
В=100110₂
Ответы
Ответ дал:
0
Сделал в паинте))))........
Приложения:

Ответ дал:
0
спасибо)))
Вас заинтересует
2 года назад
2 года назад
7 лет назад
7 лет назад
10 лет назад
10 лет назад
10 лет назад
10 лет назад