• Предмет: Математика
  • Автор: okoshko2035
  • Вопрос задан 11 лет назад

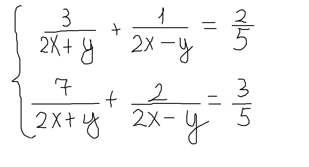
Решить систему уравнений. В ответ записать наибольшую сумму Хо + Уо, где (Хо;  Уо) - решение системы.

Приложения:

Ответы

Ответ дал: Аноним
0

Введём новые новые переменные

a = 1/(2x+y)

b = 1/(2x-y), получим систему относиельно (a,b)

 

3*a +b     = 0.4

7*a + 2*b= 0.6           Умножим 1 на 2 и от 2 отнимем 1, получим

 

a = 0.6-0.8 =-0.2=-1/5

b = 0.4-3*a = 0.4 +0.6 =1

 

Возвращаемся к переменным (x,y)

2*x + y = 1/a = -5

2*x - y  = 1/b = 1

 

4*x = -4

 

x = -1

y = 2*x-1 = -3

 

Получилось единственное решение системы (-1,-3)

 (X0+Y0) = -4. 

 

Очень странно, ведь в задаче заранее предполагалось несколько решений, иначе зачем огород городить с наибольшей суммой, если она одна?

У меня несколько вариантов ответа на этот вопрос

1. Задача вырвана из контекста, то есть был общий вопрос, а к нему много систем. И просто нам попалась вот такая система с одним решением.

2. Ошибка, опечатка в условии.

3. Ошибка, описка в моём решении.

Просто интересно, что на самом деле?

 

 

 

Вас заинтересует