РЕБЯТ, ОЧЕНЬ СРОЧНО!!!
1. На рисунке изображены силы F1 и F2, действующие на тело массой m=2кг (F1 направлена вертикально вниз, F2-право, под углом 90 градусов к F1). Определите модуль ускорения тела под действием этих сил, если F1=7,8Н.
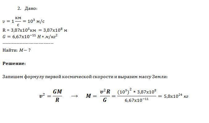
2. Луна движется вокруг Земли со скоростью, модуль которой u=1км/c. Радиус орбиты Луны R=3,87*10(10 в пятой степени) км. Определите по этим данным массу Земли. Гравитационная постоянная G=6,67*10(10 в -11 степени) (Н*м квадр.)/кг квадр.
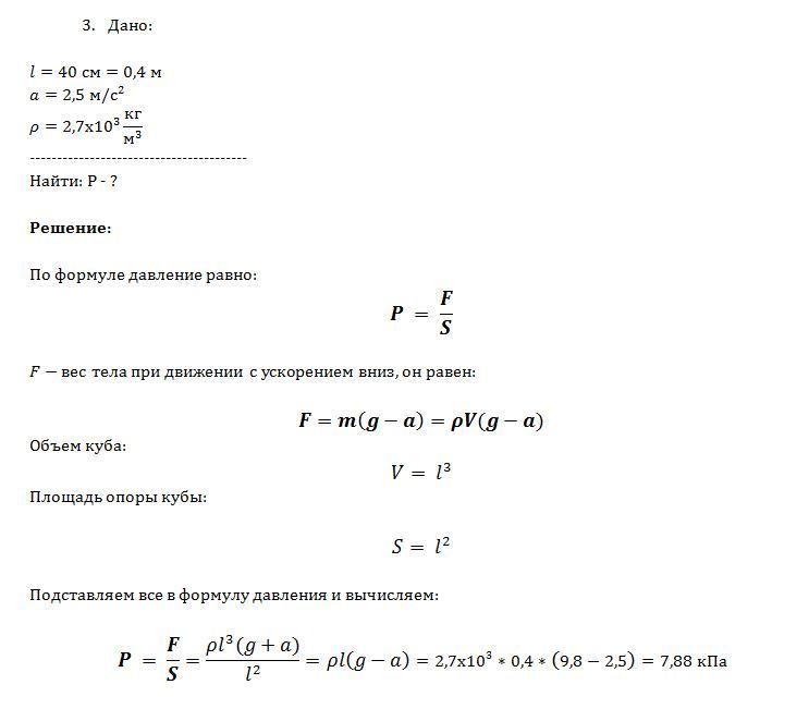
3. Алюминиевый куб, длина ребра которого l=40см, находится на горизонтальном полу кабины лифта, движущейся с направленным вертикально вниз ускорением, модуль которого a=2,5м/с квадр. Найдите давление куба на пол кабины. Плотность алюминия p=2,7*10(10 в третьей степени) кг/м кубич.


Ответы
Решения во вложениях:


