Составить уравнения касательной и нормали к указанным линиям либо в указанной точке, либо при указанном значении параметра.
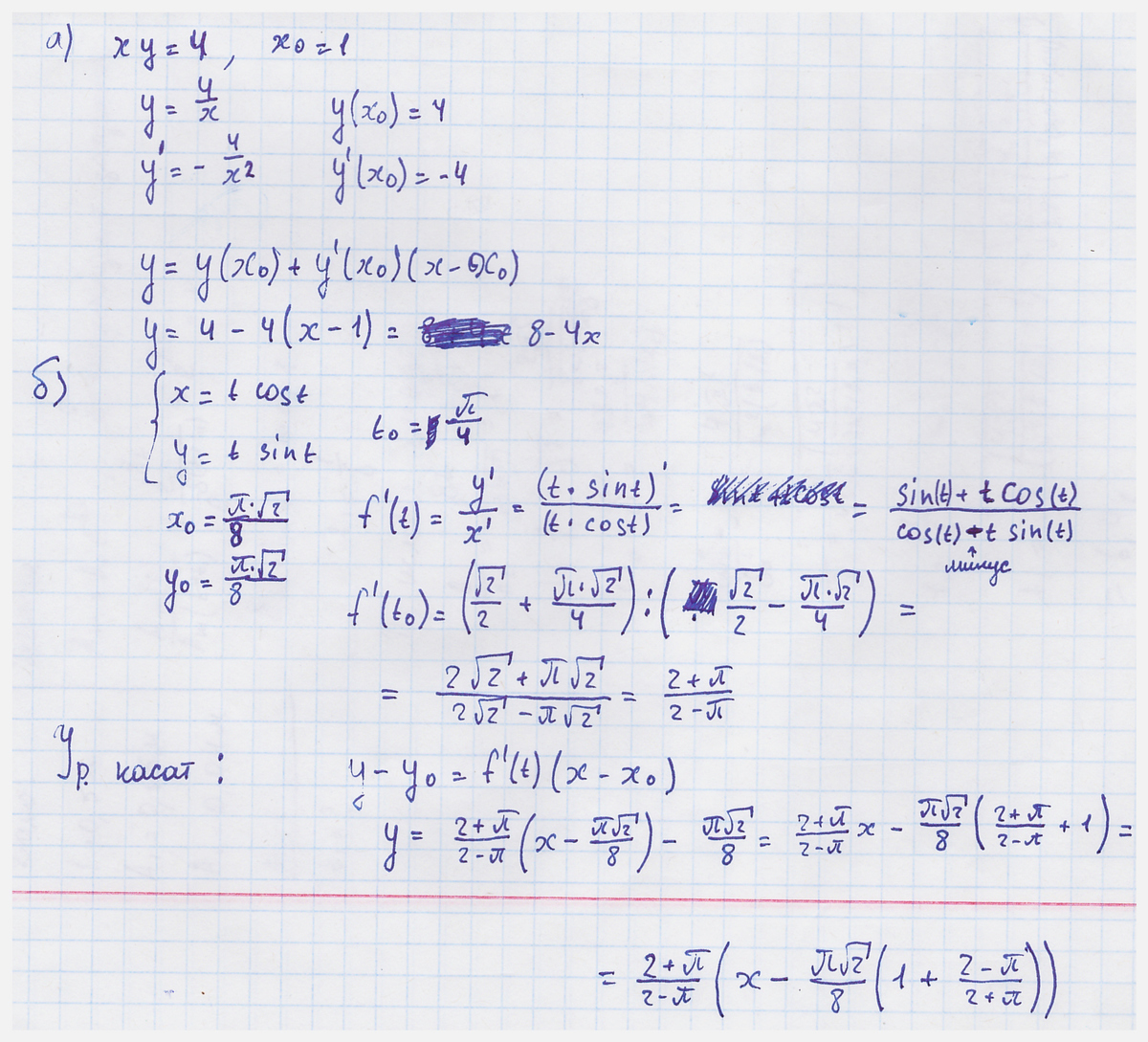
а) xy = 4, x0 = 1;
б) Знак системы уравнений x = tcost, y = tsint, t0 = pi/4
Ответы
Ответ дал:
0
Проверьте второе. Возможно, я что-то упустил в нем. Преобразовать не смог(
Приложения:

Ответ дал:
0
Люди приходят на этот сайт для того, чтобы кто-то решил вместо них, а не для того чтобы понять как это решать.
Ответ дал:
0
И чтобы помочь понять, не нужно выкладывать готовое решение.
Ответ дал:
0
Это твоё мнение
Ответ дал:
0
Надо спросить "а что ты уже решил", "что именно не получается" и т.д.
Ответ дал:
0
А если люди хотят это понять, они договариваются о дополнительных занятиях с учителем или нанимают репетитора.
Вас заинтересует
2 года назад
2 года назад
7 лет назад
7 лет назад
10 лет назад
10 лет назад
10 лет назад