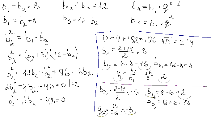
разность между первым и вторым членами геометрической прогрессии равна 8, а сумма второго и третьего членов 12. Найдите первый член и знаменатель прогрессии
Ответы
Ответ дал:
0
---------------------------
Приложения:

Вас заинтересует
2 года назад
8 лет назад
8 лет назад
10 лет назад
10 лет назад