• Предмет: Алгебра
  • Автор: mocor
  • Вопрос задан 10 лет назад

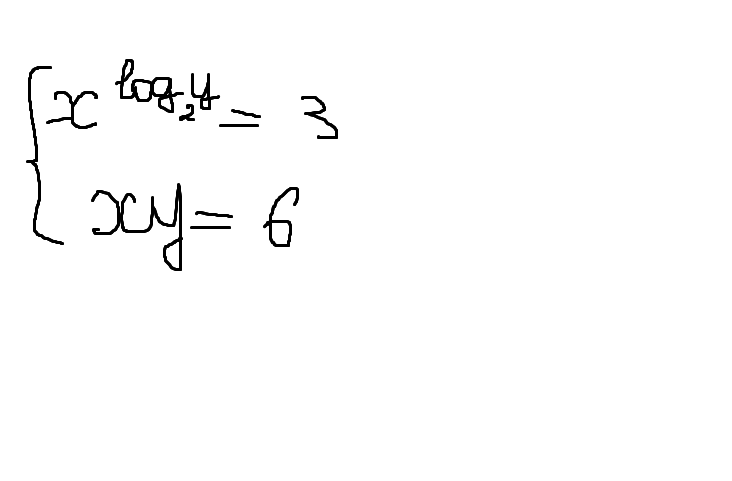
Помогите с системой логарифмических уравнений!
Заранее спасибо :3

Приложения:

Ответы

Ответ дал: dbookerkst
0
Решение большое на 3х листочках.совмещай
Приложения:
Ответ дал: mocor
0
Спасибо большое за помощь!
Вас заинтересует