Сторона КМ треугольника КМР равна 9мсм,угол М равен 45градусов,угол К равен 75 градусам.а)вычислите длину стороны КР Б)найдите наибольшую сторону
треугольника КМР.
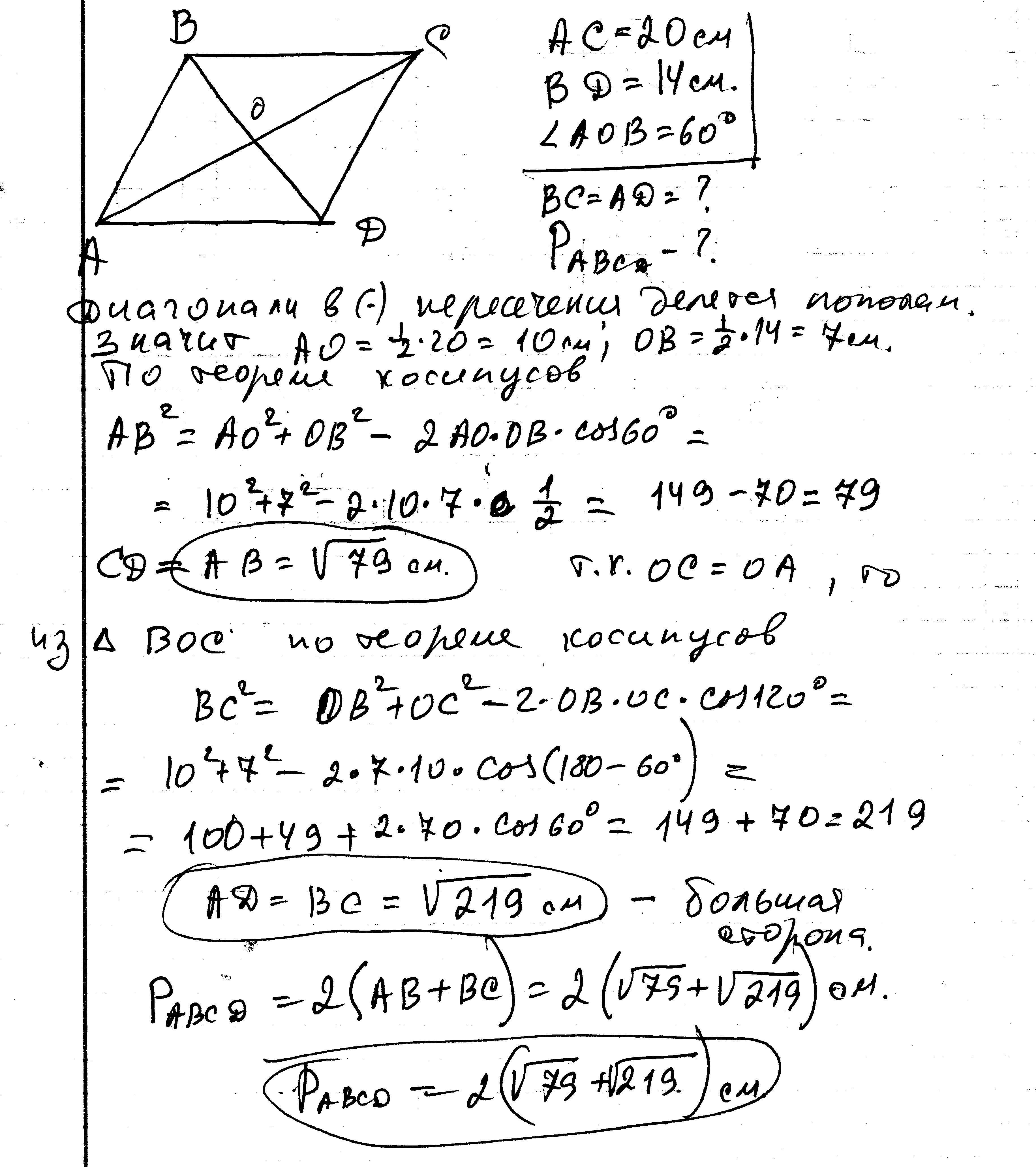
2.Угол между диагоналями параллелограмма АБСД равен 60градусов,АС=20см,ВД=14см. Вычислите а)длину большей стороны параллелограмма Б)периметр параллелограмма . Заранее спаси
Ответы
Ответ дал:
0
решение в скане...................
Приложения:
Вас заинтересует
3 года назад
3 года назад
8 лет назад
8 лет назад
10 лет назад
10 лет назад
11 лет назад