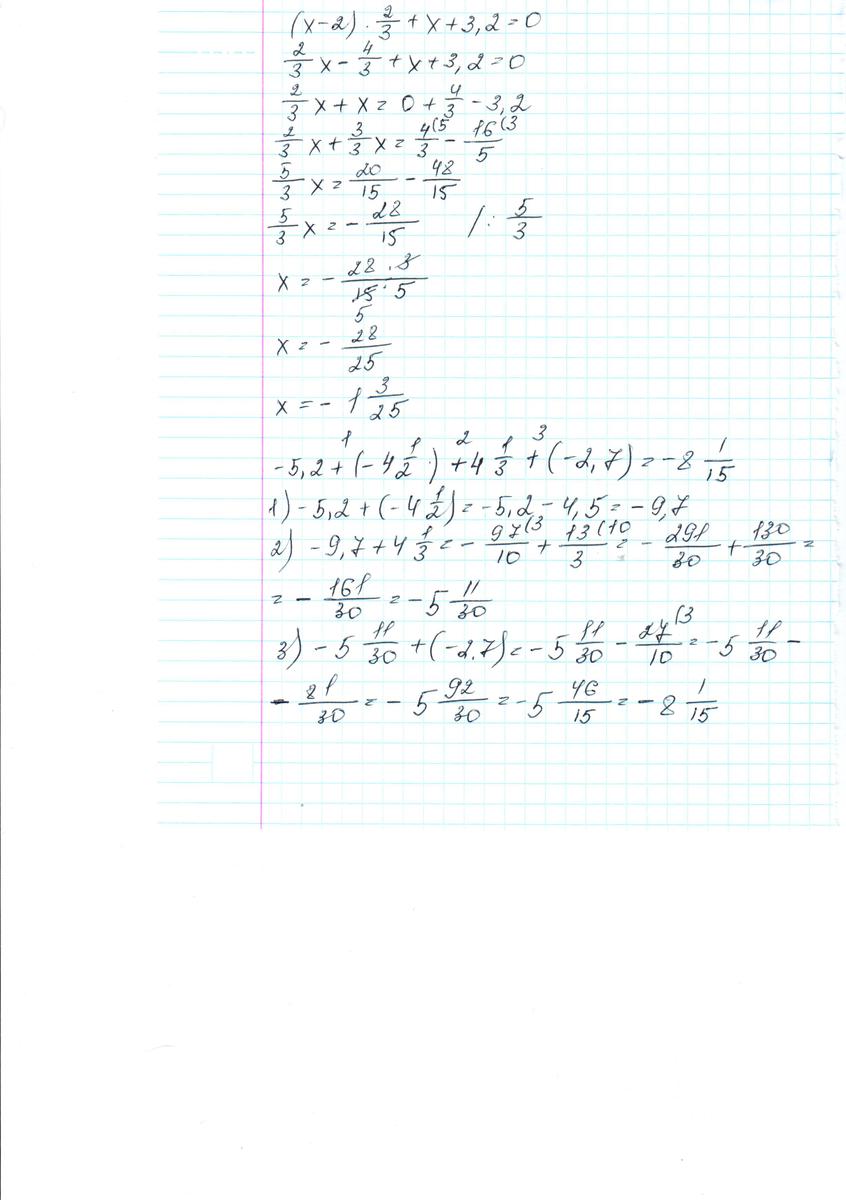
1.Решить уравнение:
(х-2)*2/3+х+3,2=0;
(2/3-в виде обыкновенной дроби дано)
2.Вычислите:
-5,2+(-4целых1/2)+4целых1/3+(-2,7);
Срочно помогите пожалуйста.
Ответы
Ответ дал:
0
подробное решение в файле.............
Приложения:

Вас заинтересует
2 года назад
2 года назад
7 лет назад
10 лет назад
10 лет назад
10 лет назад