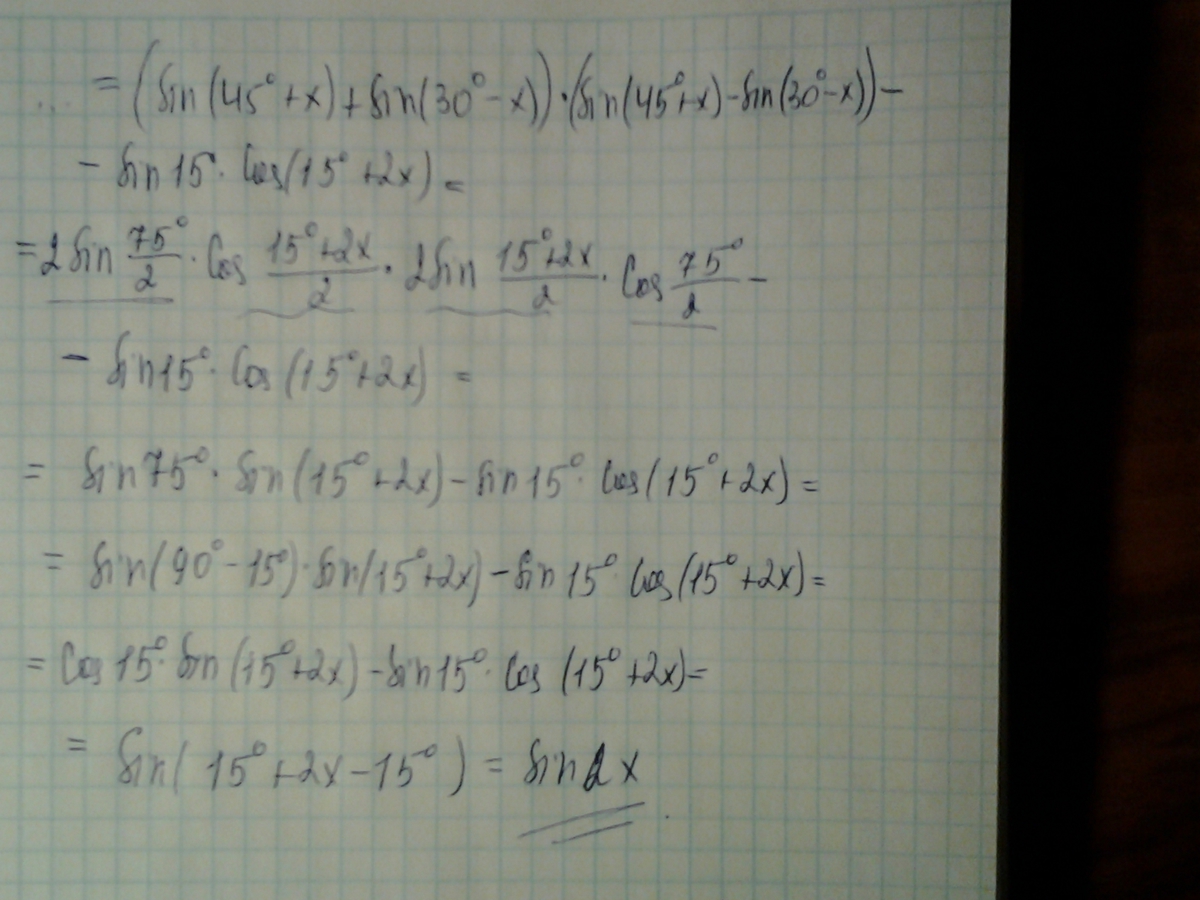
Sin^2(45+x)-sin^2(30-x)-sin15cos(15+2x)=sin2x
доказать,что одна часть равна другой
P.s 45,30,15 градусов
Ответы
Ответ дал:
0
Использована формула разности квадратов, синус двойного угла, формула сложения
Приложения:

Вас заинтересует
2 года назад
2 года назад
7 лет назад
7 лет назад
10 лет назад
10 лет назад
10 лет назад