• Предмет: Алгебра
  • Автор: johnnynukerr
  • Вопрос задан 10 лет назад

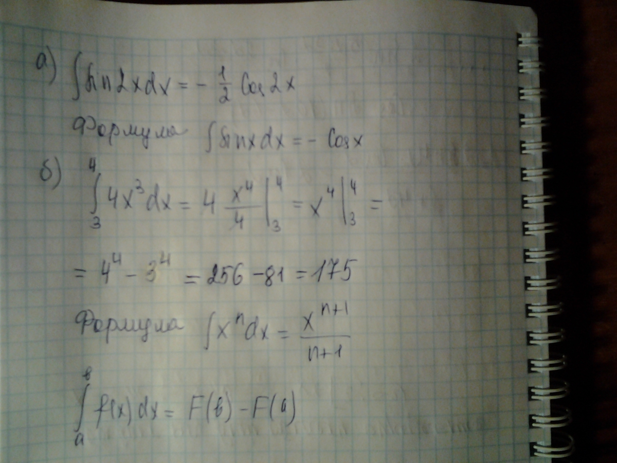
Вычислить интеграл

И напишите по какой теореме решали, пожалуйста

Приложения:

Ответы

Ответ дал: okneret
0
Применены формулы интегрирования
Приложения:
Ответ дал: johnnynukerr
0
спасибо большое
Ответ дал: okneret
0
Рада помочь)
Вас заинтересует