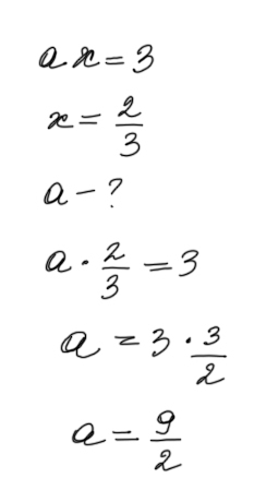
Дано уравнение ax=3, где a- некоторое число,x-переменная. Найдите a, если известно, что корень уравнения равен 2/3
Ответы
Ответ дал:
0
Решение в прикрепленном файле.
Приложения:

Вас заинтересует
2 года назад
2 года назад
7 лет назад
7 лет назад
10 лет назад
10 лет назад