• Предмет: Математика
  • Автор: Анюта2003Флора
  • Вопрос задан 10 лет назад

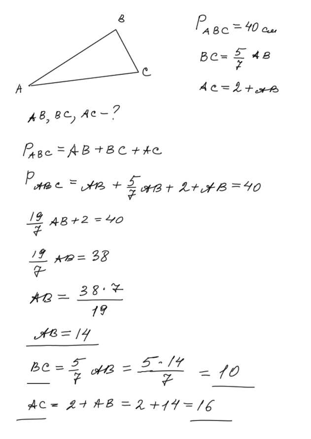
Периметр треугольника ABC равен 40 см.Сторона BC составляет 5/7 стороны AB,а сторона AC на 2 см. больше AB . Найдите стороны треугольника.
ПОМОГИТЕ ПРОШУ

Ответы

Ответ дал: UluanaV
0
Решение в прикрепленном файле.
Приложения:
Вас заинтересует