Ответы
Ответ дал:
0
Разберем первый :
2^2*7/2*7^2
2(2-1)=2^1=2
7(1-2)=7^(-1)=1/7
2*1/7=2/7
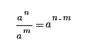
Решая эти примеры,действуйте по этой формуле :
2^2*7/2*7^2
2(2-1)=2^1=2
7(1-2)=7^(-1)=1/7
2*1/7=2/7
Решая эти примеры,действуйте по этой формуле :
Приложения:

Вас заинтересует
2 года назад
7 лет назад
10 лет назад
10 лет назад
10 лет назад