• Предмет: Алгебра
  • Автор: anastasia27054
  • Вопрос задан 10 лет назад

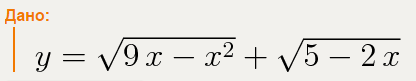
Найдите область определения функции

Приложения:

Ответы

Ответ дал: LFP
0
квадратный корень может быть извлечен только из неотрицательного числа))
Приложения:
Вас заинтересует