Решите заранее спасибо))
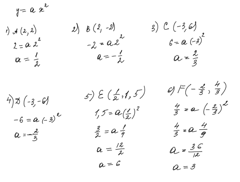
При каких значениях a график функций y=ax^2 проходит через точку:1)A(2:2),2)B(2;-2),3)C(-3;6),4)D(-3;-6),5)E(1/2;1,5),6)F(-2/3,4/3) ???
Ответы
Ответ дал:
0
Решение в прикрепленном файле.
Приложения:

Вас заинтересует
2 года назад
7 лет назад
7 лет назад
10 лет назад
10 лет назад
10 лет назад