Помогите пожалуйста решить, пожалуйстаа
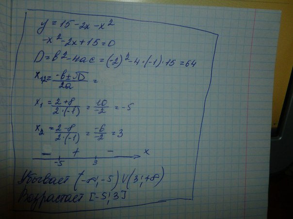
Найдите промежутки возрастания и убывания функийй: у=15-2х-х^2, Спасибо.
Ответы
Ответ дал:
0
))))))))))))))))))))))))))))))))))))))))))))))))))
Приложения:

Вас заинтересует
2 года назад
10 лет назад
10 лет назад
10 лет назад
10 лет назад