• Предмет: Алгебра
  • Автор: tkilinskayte
  • Вопрос задан 10 лет назад

Пожалуйста!!! Срочно!!!
Решите уравнение:
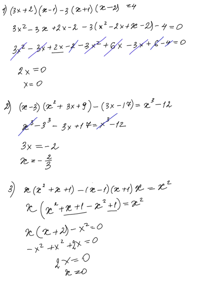
1)(3x+2)(x-1)-3(x+1)(x-2)=4
2)(x-3)(x^2+3x+9)-(3x-17)=x^3-12
3)x(x^2+x+1)-(x-1)(x+1)x=x^2


(^-степень)

Ответы

Ответ дал: UluanaV
0
Решение в прикрепленном файле.
Приложения:
Ответ дал: tkilinskayte
0
спасибо))
Вас заинтересует