• Предмет: Математика
  • Автор: Диогу
  • Вопрос задан 10 лет назад

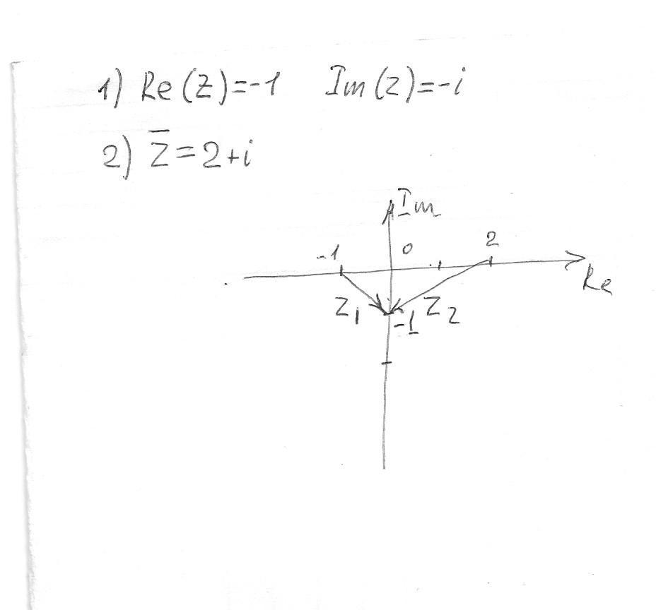
Пожалуйста решите мне пожалуйста комплексные числа!!!! Решение смотрите по фото!!!!!!!!

Приложения:

Ответы

Ответ дал: Опыт
0
Ну, что-то такое..................................
Приложения:
Ответ дал: Диогу
0
спасибо
Вас заинтересует