Ответы
Ответ дал:
0
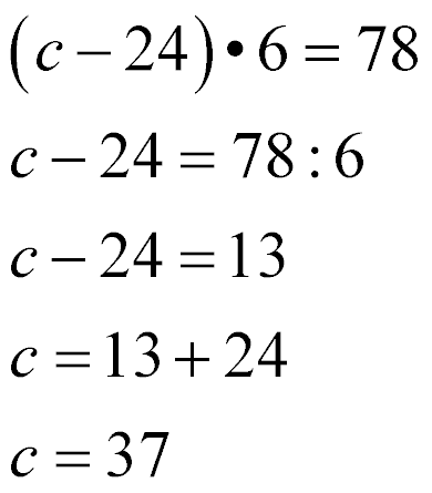
(с-24)*6=78
6с-144=78
6с=222
с=37
6с-144=78
6с=222
с=37
Ответ дал:
0
Спасибо
Ответ дал:
0
НЕ ПРАВИЛЬНО! 2!
Ответ дал:
0
Еще и после меня
Ответ дал:
0
Еще и отметили как ЛУЧШИЙ!
Ответ дал:
0
<---------------------------------------------------------------------------------->
Помог? Ставь Like, отметь как лучшее и поблагодари)
Помни! Если отметишь как лучший получишь баллы!
<---------------------------------------------------------------------------------->
Помог? Ставь Like, отметь как лучшее и поблагодари)
Помни! Если отметишь как лучший получишь баллы!
<---------------------------------------------------------------------------------->
Приложения:
Ответ дал:
0
Спасибо
Ответ дал:
0
(с-24)*6=78
6с-144=78
6с=162
с=27
6с-144=78
6с=162
с=27
Ответ дал:
0
Я случайно просто скопировала:(
Ответ дал:
0
ДА МНЕ НЕ СУТЬ! Я НЕ ПОНИМАЮ ПОЧЕМУ У ТЕБЯ Лучший Ответ!
Вас заинтересует
3 года назад
3 года назад
8 лет назад
11 лет назад