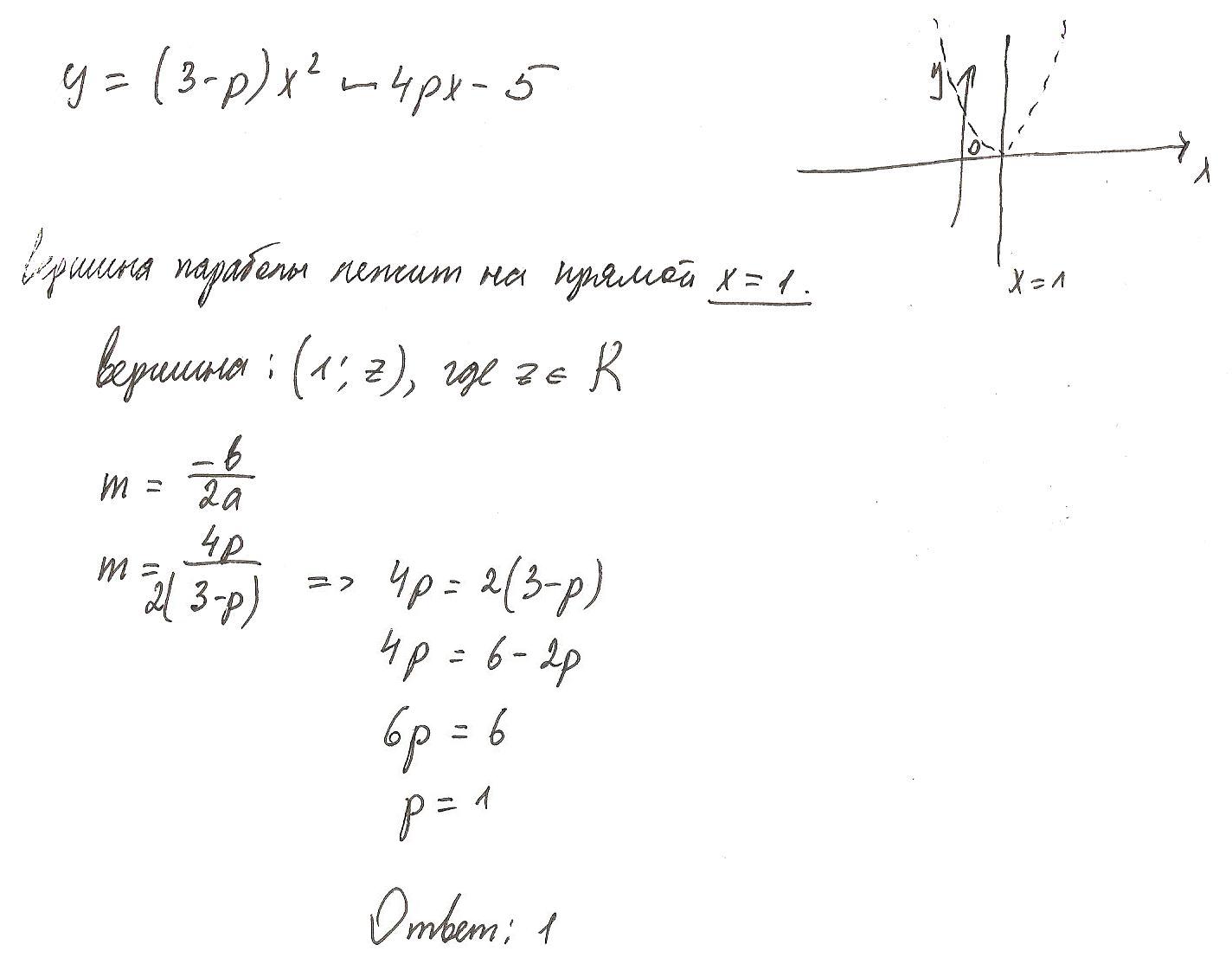
Найдите значения параметра А,если прямая х=1 является осью симметрии графика функции y=(3-p)х^2-4рх-5.
Пожалуйста помогите.
Ответы
Ответ дал:
0
...может все-таки параметра р?...
Приложения:

Вас заинтересует
2 года назад
2 года назад
8 лет назад
10 лет назад
10 лет назад
10 лет назад