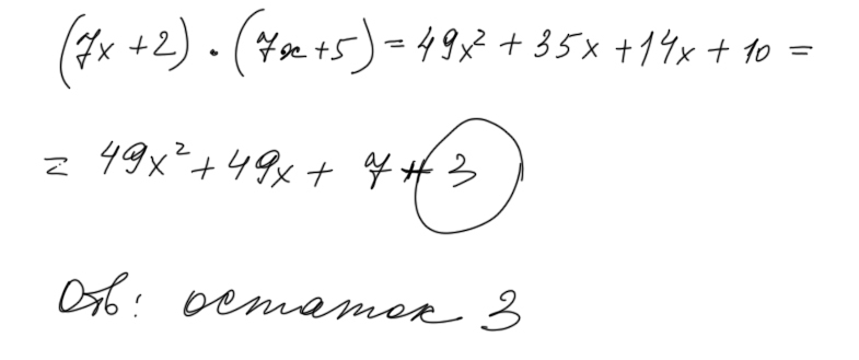
приделении на 7 одно целое число дает остаток 2,а другое 5.Какой остаток получится при делении на 7 произведения этих чисел?
Ответы
Ответ дал:
0
Решение в прикрепленном файле.
Приложения:

Вас заинтересует
2 года назад
2 года назад
7 лет назад
10 лет назад
10 лет назад