Ответы
Ответ дал:
0
Решение смотри в приложении
Приложения:

Ответ дал:
0
Спасибо огромное
Ответ дал:
0
А это неравенство можно решить через замену?
Ответ дал:
0
t=log(10,x)
Ответ дал:
0
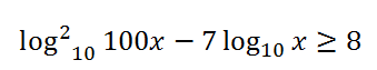
ОДЗ x>0
(lg100+lgx)²-7lgx-8≥0
(2+lgx)²-7lgx-8≥0
4+4lgx+lg²x-7lgx-8≥0
lg²x-3lgx-4≥0
lgx=a
a²-3a-4≥0
a1+a2=3 U a1*a2=-4⇒a1=-1 U a2=4
a-1≤a U a≥4⇒lgx≤-1 U lgx≥4⇒x≤0,1 U x≥10000
x∈(0;0,1] U [10000;∞)
(lg100+lgx)²-7lgx-8≥0
(2+lgx)²-7lgx-8≥0
4+4lgx+lg²x-7lgx-8≥0
lg²x-3lgx-4≥0
lgx=a
a²-3a-4≥0
a1+a2=3 U a1*a2=-4⇒a1=-1 U a2=4
a-1≤a U a≥4⇒lgx≤-1 U lgx≥4⇒x≤0,1 U x≥10000
x∈(0;0,1] U [10000;∞)
Приложения:

Вас заинтересует
2 года назад
2 года назад
7 лет назад
7 лет назад
10 лет назад
10 лет назад