• Предмет: Алгебра
  • Автор: Callie
  • Вопрос задан 10 лет назад

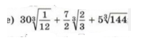
Пожалуйста, упростите:

Приложения:

Ответы

Ответ дал: Аноним
0
30* sqrt[3]{1/12} +7* sqrt[3]{1/12} +5 sqrt[3]{12^2} =37 sqrt[3]{12^2}/12+5 sqrt[3]{12^2} =97 sqrt[3]{12^2}/12=97*2 sqrt[3]{18} /12=97 sqrt[3]{18} /6
Вас заинтересует